Willkommen
Willkommen auf meiner privaten Homepage.
Profile und Metriken
Beispielgrafiken
Publikationen (Stand 2026)
Deimel, D. (2025). Schulrückmeldungen zu internationalen Large-Scale-Assessments: Das Beispiel der International Civic and Citizenship Education Study (ICCS) 2022 in Deutschland. Zeitschrift für Evaluation, 24(2), 294–303. https://doi.org/10.31244/zfe.2025.02.06
Kuhn, A., Halle, A.-C., & Deimel, D. (2025). Demokratisierung des Lernens in Schule: Ergebnisse einer Jugendbefragung. Bertelsmann Stiftung. https://doi.org/10.11586/2025056
Abs, H. J., Deimel, D., & Hahn-Laudenberg, K. (2024). Fachliche Lehrkraftkompetenzen in Politik und Wirtschaft stärken. Weiterbildung, (3), 14–17.
Abs, H. J., Hahn-Laudenberg, K., Deimel, D., & Ziemes, J. F. (2024). Einleitung. In H. J. Abs, K. Hahn-Laudenberg, D. Deimel, & J. F. Ziemes (Eds.), ICCS 2022. Schulische Sozialisation und politische Bildung von 14-Jährigen im internationalen Vergleich (pp. 27–38). Waxmann. https://doi.org/10.31244/9783830998228.02
Abs, H. J., Hahn-Laudenberg, K., Deimel, D., & Ziemes, J. F. (Eds.). (2024). ICCS 2022. Schulische Sozialisation und politische Bildung von 14-Jährigen im internationalen Vergleich. Waxmann. https://doi.org/10.31244/9783830998228
Ateş, R., Manzel, S., Abs, H. J., & Deimel, D. (2024). Unterrichtsplanung, Gestaltung von Lernumgebungen und Leistungsbewertung. In H. J. Abs, K. Hahn-Laudenberg, D. Deimel, & J. F. Ziemes (Eds.), ICCS 2022. Schulische Sozialisation und politische Bildung von 14-Jährigen im internationalen Vergleich (pp. 257–274). Waxmann. https://doi.org/10.31244/9783830998228.13
Birindiba Batista, I., Deimel, D., Abs, H. J., & Hahn-Laudenberg, K. (2024). Nachhaltigkeit: Zukunftsbedrohungen, Einstellungen, nachhaltiges Verhalten und Schulkontexte. In H. J. Abs, K. Hahn-Laudenberg, D. Deimel, & J. F. Ziemes (Eds.), ICCS 2022. Schulische Sozialisation und politische Bildung von 14-Jährigen im internationalen Vergleich (pp. 177–198). Waxmann. https://doi.org/10.31244/9783830998228.09
Deimel, D., & Abs, H. J. (2024). Wahrnehmung von Zukunftsbedrohungen durch Jugendliche: Wissen und Partizipationsbereitschaft bei unterschiedlichen Wahrnehmungsmustern. ZSE (Zeitschrift für Soziologie Der Erziehung Und Sozialisation), (4), 384–400. https://doi.org/10.3262/ZSE2404384
Deimel, D., Berkemeyer, N., & Hahn-Laudenberg, K. (2024). Partizipation in der Schule. Ungleiche Angebote und ungleiche Nutzung? In H. J. Abs, K. Hahn-Laudenberg, D. Deimel, & J. F. Ziemes (Eds.), ICCS 2022. Schulische Sozialisation und politische Bildung von 14-Jährigen im internationalen Vergleich (pp. 331–351). Waxmann. https://doi.org/10.31244/9783830998228.17
Deimel, D., & Hahn-Laudenberg, K. (2024). Politische Partizipationsbereitschaft: Beteiligungsformen aus Sicht junger Bürger*innen. In H. J. Abs, K. Hahn-Laudenberg, D. Deimel, & J. F. Ziemes (Eds.), ICCS 2022. Schulische Sozialisation und politische Bildung von 14-Jährigen im internationalen Vergleich (pp. 201–221). Waxmann. https://doi.org/10.31244/9783830998228.10
Deimel, D., & Welsandt, N. (2024). ICCS als repräsentative Schulleistungsstudie. In H. J. Abs, K. Hahn-Laudenberg, D. Deimel, & J. F. Ziemes (Eds.), ICCS 2022. Schulische Sozialisation und politische Bildung von 14-Jährigen im internationalen Vergleich (pp. 377–391). Waxmann. https://doi.org/10.31244/9783830998228.20
Hahn-Laudenberg, K., Abs, H. J., Ziemes, J., & Deimel, D. (2024). International Civic and Citizenship Education Study 2022. Ergebnisse und Schlussfolgerungen für die politische Bildung. GWP – Gesellschaft, Wirtschaft, Politik, 73(4-2024), 457–469. https://doi.org/10.3224/gwp.v73i4.07
Welsandt, N., & Deimel, D. (2024). Prozesse zur Stichprobenziehung und Datenerhebung. In E. Winther & H. J. Abs (Eds.), ECON 2022 (pp. 97–105). Waxmann. https://doi.org/10.31244/9783830998389.3_6
Welsandt, N., Huschle, L., Drossel, K., Deimel, D., & Abs, H. J. (2024). Digitalisierung. Mediennutzung von Jugendlichen zu sozialen und politischen Fragen, schulische Aktivitäten und Lehrkräftefortbildungen. In H. J. Abs, K. Hahn-Laudenberg, D. Deimel, & J. F. Ziemes (Eds.), ICCS 2022. Schulische Sozialisation und politische Bildung von 14-Jährigen im internationalen Vergleich (pp. 239–255). Waxmann. https://doi.org/10.31244/9783830998228.12
Ziemes, J. F., & Deimel, D. (2024). Identität, Interesse und Selbstwirksamkeit. Überzeugungen von Schüler*innen über sich selbst. In H. J. Abs, K. Hahn-Laudenberg, D. Deimel, & J. F. Ziemes (Eds.), ICCS 2022. Schulische Sozialisation und politische Bildung von 14-Jährigen im internationalen Vergleich (pp. 77–92). Waxmann. https://doi.org/10.31244/9783830998228.04
Deimel, D. (2023). Kontexte der Genese politischer Partizipationsbereitschaft. Springer VS. https://doi.org/10.1007/978-3-658-40625-7
Deimel, D., & Hahn-Laudenberg, K. (2023). Unausgeschöpfte Potenziale? Demokratiepädagogische Schlussfolgerungen aus der International Civic and Citizenship Education Study 2016. In O. Bokelmann (Ed.), Demokratiepädagogik (pp. 131–143). Springer VS. https://doi.org/10.1007/978-3-658-42649-1_10
Deimel, D., & Abs, H. J. (2022). Local Characteristics Shape the Intended Political Behaviours of Adolescents. Social Indicators Research, 162(2), 619–641. https://doi.org/10.1007/s11205-021-02852-y
Deimel, D., & Abs, H. J. (2022). Soziale Ungleichheit und politische Partizipationsbereitschaft bei Jugendlichen. In W. Beutel, M. Gloe, G. Himmelmann, D. Lange, V. Reinhardt, & A. Seifert (Eds.), Handbuch Demokratiepädagogik (pp. 257–266). Wochenschau.
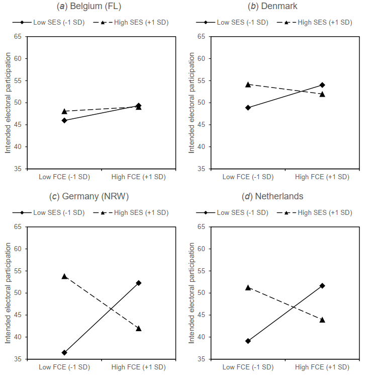
Deimel, D., Hahn-Laudenberg, K., Ziemes, J. F., & Abs, H. J. (2022). Civic Education and Social Interactions at School as Drivers of Intended Electoral Participation: Similarities and Differences in Four European School Systems. Education, Citizenship and Social Justice, 19(1), 37–57. https://doi.org/10.1177/17461979221114549
Hahn-Laudenberg, K., & Deimel, D. (2022). Ungleicher Zugang zur schulischen Partizipationserfahrung. Vergleichende Perspektiven auf Grundlage der International Civic and Citizenship Education Study 2016. In M. Oberle & M.-M. Stamer (Eds.), Politische Bildung in internationaler Perspektive (pp. 23–33). Wochenschau.
Abs, H. J., Hahn-Laudenberg, K., Ziemes, J. F., & Deimel, D. (2021). Fragebogenerhebung ICCS 2016 (Skalenkollektion). Forschungsdatenzentrum Bildung am DIPF; DIPF | Leibniz Institute for Research and Information in Education. https://doi.org/10.7477/507:317:1
Abs, H. J., Hahn-Laudenberg, K., Deimel, D., & Ziemes, J. F. (2020). Zum Stand der Vorbereitung auf die Demokratie: Die International Civic and Citizenship Education Study 2016 (ICCS 2016) untersucht politische Bildung bei 14-Jährigen. UNIKATE, 55, 69–80.
Deimel, D. (2020). Studienganginformationsangebote in der Erziehungswissenschaft und im Lehramt. Erziehungswissenschaft, 31(60), 101–109. https://doi.org/10.3224/ezw.v31i1.10
Deimel, D., Hoskins, B., & Abs, H. J. (2020). How Do Schools Affect Inequalities in Political Participation: Compensation of Social Disadvantage or Provision of Differential Access? Educational Psychology, 40(2), 146–166. https://doi.org/10.1080/01443410.2019.1645305
Hahn-Laudenberg, K., Deimel, D., & Abs, H. J. (2020). Partizipation von Schüler*innen: Differenzierungen im Anschluss an die International Civic and Citizenship Education Study 2016. In H.-P. Burth & V. Reinhardt (Eds.), Wirkungsanalyse von Demokratie-Lernen (pp. 93–113). Budrich. https://doi.org/10.2307/j.ctv12sdvq5.7
Deimel, D., & Abs, H. J. (2018). Zuversichtlich, privat, vertrauensvoll und passiv. Das politische Mindset von Jugendlichen im internationalen Vergleich. Unsere Jugend, 70(7-8), 297–305. https://doi.org/10.2378/uj2018.art46d
Abs, H. J., Hahn-Laudenberg, K., Deimel, D., & Ziemes, J. F. (2017). Einleitung. In H. J. Abs & K. Hahn-Laudenberg (Eds.), Das politische Mindset von 14–Jährigen (pp. 9–26). Waxmann.
Baykara-Krumme, H., & Deimel, D. (2017). Erfahrungen im familiären und räumlichen Umfeld. In H. J. Abs & K. Hahn-Laudenberg (Eds.), Das politische Mindset von 14–Jährigen (pp. 306–324). Waxmann.
Deimel, D., & Buhl, M. (2017). Zukunftsperspektiven der 14-Jährigen. In H. J. Abs & K. Hahn-Laudenberg (Eds.), Das politische Mindset von 14–Jährigen (pp. 233–254). Waxmann.
Deimel, D., & Hahn-Laudenberg, K. (2017). Gesellschaftliche Partizipationsbereitschaft. In H. J. Abs & K. Hahn-Laudenberg (Eds.), Das politische Mindset von 14–Jährigen (pp. 205–232). Waxmann.
Deimel, D., & Hahn-Laudenberg, K. (2017). Schulische Lerngelegenheiten und Partizipationsmöglichkeiten. In H. J. Abs & K. Hahn-Laudenberg (Eds.), Das politische Mindset von 14–Jährigen (pp. 255–278). Waxmann.
Ziemes, J. F., Jasper, J., Deimel, D., Hahn-Laudenberg, K., & Abs, H. J. (2017). ICCS 2016 - Design und methodisches Vorgehen. In H. J. Abs & K. Hahn-Laudenberg (Eds.), Das politische Mindset von 14–Jährigen (pp. 47–76). Waxmann.
Ziemes, J. F., Deimel, D., & Abs, H. J. (2016). Demokratie an Schulen: Partizipation als Herzstück der demokratischen Schule. Lernende Schule, 19(74), 18–20.
Deimel, D. (2013). Schule im Stadion: Politische Bildung mit der Bundesliga. Schule NRW, 67(9), 440–441.